According to 2021 ESMO guidelines, treatment of newly diagnosed (ND) transplant eligible (TE) Multiple Myeloma (MM) patients is settled by an induction phase followed by single or tandem autologous stem cell transplantation (ASCT) and Lenalidomide (Len) maintenance. Len maintenance was approved in Italy in May 2018 due to the results of the meta-analysis by McCarthy et al. of three large randomized clinical trials. Before the approval of daratumumab-bortezomib-thalidomide-dexamethasone (D-VTD) regimen, VTD triplet combination was the most used induction regimen across Italian centers. In addition, given the data from the EMN02 trial, in the last years tandem ASCT has been a consolidated practice especially for high-risk cytogenetic patients. However, only a minority of patients enrolled in the meta-analysis of McCarthy received VTD induction and in most of them a single ASCT has been performed.
In this context, the aim of this real-life study was to evaluate the efficacy and the safety of Len maintenance after VTD plus single or tandem ASCT in ND TE MM patients.
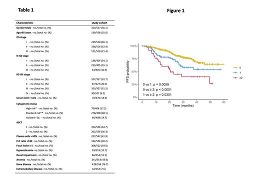
The study cohort included 558 patients with a median age of 59 years (24-74) followed in 21 Italian referral centers. Baseline clinical and biological features are reported in table 1. ISS III and R-ISS III were detected in 111/518 (21.4%) and 44/405 (10.9%) cases, respectively, moreover, 30/327 (9.2%) patients showed R2 ISS stage IV. FISH analysis was available in 408 patients with 70 of them displaying high risk (HR) alterations [including t(4;14), t(14,16) and del17p]. Among the 338 standard risk patients, information about 1q status was available for 320 of them, with 60 patients harboring +1q abnormalities (18.75%). All patients received VTD induction (median number of cycles 4) and single or tandem ASCT was performed in 63.7% and 36.3% of cases, respectively.
A median number of 22 cycles of Len maintenance was administered. Complete response (CR) and stringent CR (sCR) rates before starting Len were 31.8% and 14.2%, respectively (overall 46%) and increased with maintenance to 39.6% and 16.6%, respectively (overall 56.2%). Most importantly, 2-year CR and sCR rates in evaluable patients were superimposable (40.6% and 14.9% respectively, 55.5% overall). One hundred ninety-seven patients (35.3%) discontinued treatment, mostly due to progressive disease (134/197, 68.0%).
Toxicities were mostly hematological with neutropenia found in 50.4% of cases (grade ≥3 in 17.2%), followed by thrombocytopenia and anemia in 24.4% and 16.1% of cases, respectively (grade ≥3 in 2.1% and 1.8% of cases, respectively). Non-hematological adverse events were primarily gastrointestinal (31.2%, grade ≥3 in 2.3%) and infections (42.3%, grade ≥3 in 3.9%) while skin related disorders affected 7.9% of patients.
With a median follow up of 30 months, the 2-year PFS and OS from starting maintenance were 80.6% and 96.7%, respectively. No significant PFS difference was found according to age (>65 years vs ≤65 years, p=0.5924) or ASCT (single vs tandem, p=0.4694). Patients with low-risk disease including ISS I and R-ISS I showed improved PFS as compared to patients with ISS >I and R-ISS >I (2y PFS 84.6% vs 76.6%, p=0.0587 and 87.8% vs 72.7%, p=0.0195, respectively). By R2-ISS, low risk disease (R2-ISS I) confirmed a better outcome as compared to R2-ISS II-III (2y PFS 88.9% vs 72.2%, p=0.0333) and to R2-ISS IV (2y PFS 47.2%, p<0.0001). Finally, considering cytogenetic risk status, standard risk patients displayed a significantly prolonged PFS as compared to high-risk patients (2y PFS 81.6 % vs 56.3%, p<0.0001) and an improved although not significant outcome than patients harboring isolated +1q (2y PFS 77.2%, p=0.09). Moreover, we demonstrated that the accumulation of HR cytogenetic abnormalities reduces patients' outcome, in detail the PFS of patients with at least 2 HR abnormalities was significantly lower than patients with only 1 and without HR aberrations, respectively [2y PFS 44.8% (≥2) vs 73.5% (1), p=0.0301, and 2y PFS 44.8% (≥2) vs 82.8% (0), p<0.0001, figure 1].
To our knowledge, this is the first study evaluating the safety and efficacy of Len maintenance after VTD plus single or tandem ASCT. Our results provide evidence that patients with clinical and biological low risk disease, and more specifically those with R2- ISS I, benefit the most from Len maintenance with a favorable safety profile.
Disclosures
Barila:GlaxoSmtihKline: Honoraria, Membership on an entity's Board of Directors or advisory committees; bristol myers squibb: Membership on an entity's Board of Directors or advisory committees; Pfizer: Membership on an entity's Board of Directors or advisory committees; Janssen: Consultancy, Honoraria. Mina:Celgene: Honoraria, Membership on an entity's Board of Directors or advisory committees; Pfizer: Honoraria; Takeda: Consultancy, Honoraria, Membership on an entity's Board of Directors or advisory committees; Amgen: Honoraria, Membership on an entity's Board of Directors or advisory committees; Bristol Myers Squibb: Membership on an entity's Board of Directors or advisory committees; Sanofi: Consultancy; Janssen: Consultancy, Honoraria, Membership on an entity's Board of Directors or advisory committees. Fazio:Janssen: Honoraria; Sanofi: Honoraria; GSK: Membership on an entity's Board of Directors or advisory committees; Beigene: Honoraria. Belotti:GlaxoSmithKline: Membership on an entity's Board of Directors or advisory committees; Amgen: Membership on an entity's Board of Directors or advisory committees; Pfizer: Membership on an entity's Board of Directors or advisory committees; Takeda: Membership on an entity's Board of Directors or advisory committees; Janssen: Membership on an entity's Board of Directors or advisory committees. Annibali:Janssen: Speakers Bureau; Amgen: Speakers Bureau; Takeda: Speakers Bureau. Mangiacavalli:Janssen: Honoraria, Membership on an entity's Board of Directors or advisory committees; Takeda: Honoraria, Membership on an entity's Board of Directors or advisory committees; GlaxoSmithKline: Honoraria; Amgen: Honoraria; Sanofi: Honoraria, Membership on an entity's Board of Directors or advisory committees; Bristol Myers Squibb: Honoraria, Membership on an entity's Board of Directors or advisory committees. Gay:Janssen: Honoraria, Other: Advisory board; Amgen: Honoraria, Other: Advisory board; Takeda: Honoraria, Other: Advisory board; Pfizer: Honoraria, Other: Advisory board; Sanofi: Honoraria, Other: Advisory board; Bristol Myers Squibb/Celgene: Honoraria, Other: Advisory board; Oncopeptides: Other: Advisory board; Roche: Other: Advisory board; AbbVie: Honoraria, Other: Advisory board; GlaxoSmithKline: Honoraria, Other: Advisory board. Zamagni:Janssen: Honoraria; Bristol-Myers-Squibb: Honoraria; Takeda: Honoraria; Amgen: Honoraria. Petrucci:Amgen: Honoraria, Membership on an entity's Board of Directors or advisory committees, Other: Support for attending meetings and/or travel; Celgene-BMS: Honoraria, Membership on an entity's Board of Directors or advisory committees, Other: Support for attending meetings and/or travel; Janssen-Cilag: Honoraria, Membership on an entity's Board of Directors or advisory committees, Other: Support for attending meetings and/or travel; Sanofi: Honoraria, Membership on an entity's Board of Directors or advisory committees, Other: Support for attending meetings and/or travel; GSK: Honoraria, Membership on an entity's Board of Directors or advisory committees; Takeda: Honoraria, Membership on an entity's Board of Directors or advisory committees, Other: Support for attending meetings and/or travel; Roche: Membership on an entity's Board of Directors or advisory committees; Oncopeptides: Membership on an entity's Board of Directors or advisory committees; Pfizer: Membership on an entity's Board of Directors or advisory committees; Menarini: Membership on an entity's Board of Directors or advisory committees. Zambello:amgen: Honoraria; takeda: Honoraria; Menarini: Honoraria; Janssen: Honoraria; sanofi: Honoraria.

This feature is available to Subscribers Only
Sign In or Create an Account Close Modal